Світ вражає: Вчені виявили, що Чумацький Шлях зігнутий буквою S та «вібрує»
Нова точна карта диска Галактики показала, що він зігнутий на краях і повільно "вібрує".
Про це повідомляє Укрінформ з посиланням на Naked Science, посилаючись на статтю китайських і австралійських учених.
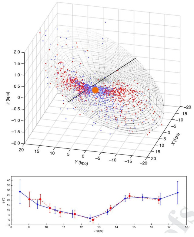
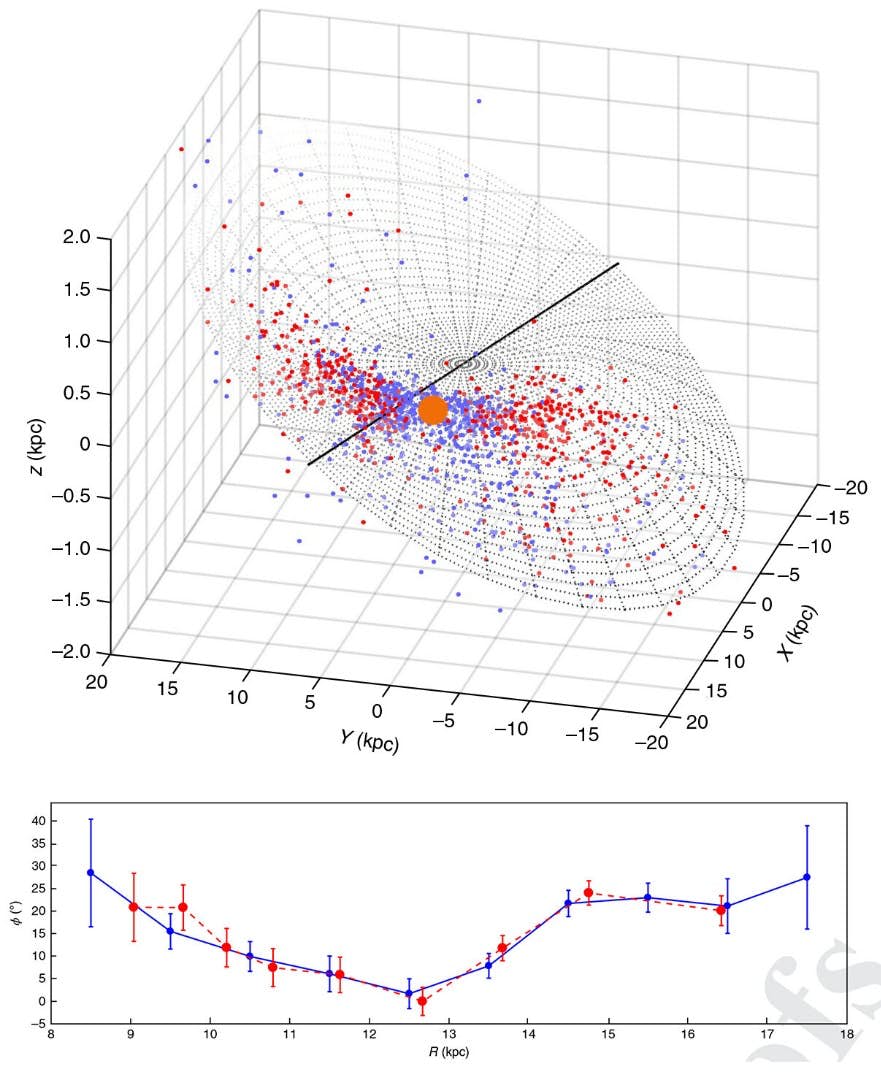
"Звичні зображення нашої Галактики можуть виявитися не зовсім вірними. Нові астрометричні спостереження за змінними пульсуючими зірками дозволили скласти більш точну карту Чумацького Шляху і виявили, що її сплощений диск помітно зігнутий", - йдеться в повідомленні.
Автори провели спостереження за цефеїдами Галактики. Не так давно цей метод дозволив виявити в Чумацькому Шляху дивну «пустелю» — область, де зустрічаються лише рідкісні і досить старі зірки. А в новій роботі астрономи використовували дані космічного інфрачервоного телескопа WISE, який виявив 1339 цефеїд. Коли нанесли їх на карту, вчені виявили, що диск Чумацького Шляху помітно зігнутий на краях, за формою наближаючись до сильно витягнутої літери S.
Диск Галактики охоплює її ядро з центральною перемичкою, спіралі та рукави і тягнеться на 100 тисяч світлових років від центру. Плоску складову диска утворюють зірки — в основному молоді і яскраві, — проте газ розподіляється нерівномірно. Тому звичайні спостереження на лінії водню (Н-альфа) досі не дозволяли виділити саме плоску складову диска і побачити його справжню форму за серпанком міжзоряного газу і пилу.
Крім того, нові спостереження показали, що ця вигнута форма галактичного диска коливається, прецесує: таке явище вже було відомо на прикладі деяких інших галактик. Автори пов'язують це з гравітаційним впливом могутньої маси в центрі Чумацького Шляху, пов'язаної з розташованою тут надмасивною чорною дірою і мільярдами сусідніх зірок.
Про це повідомляє Укрінформ з посиланням на Naked Science, посилаючись на статтю китайських і австралійських учених.
"Звичні зображення нашої Галактики можуть виявитися не зовсім вірними. Нові астрометричні спостереження за змінними пульсуючими зірками дозволили скласти більш точну карту Чумацького Шляху і виявили, що її сплощений диск помітно зігнутий", - йдеться в повідомленні.
Автори провели спостереження за цефеїдами Галактики. Не так давно цей метод дозволив виявити в Чумацькому Шляху дивну «пустелю» — область, де зустрічаються лише рідкісні і досить старі зірки. А в новій роботі астрономи використовували дані космічного інфрачервоного телескопа WISE, який виявив 1339 цефеїд. Коли нанесли їх на карту, вчені виявили, що диск Чумацького Шляху помітно зігнутий на краях, за формою наближаючись до сильно витягнутої літери S.
Диск Галактики охоплює її ядро з центральною перемичкою, спіралі та рукави і тягнеться на 100 тисяч світлових років від центру. Плоску складову диска утворюють зірки — в основному молоді і яскраві, — проте газ розподіляється нерівномірно. Тому звичайні спостереження на лінії водню (Н-альфа) досі не дозволяли виділити саме плоску складову диска і побачити його справжню форму за серпанком міжзоряного газу і пилу.
Крім того, нові спостереження показали, що ця вигнута форма галактичного диска коливається, прецесує: таке явище вже було відомо на прикладі деяких інших галактик. Автори пов'язують це з гравітаційним впливом могутньої маси в центрі Чумацького Шляху, пов'язаної з розташованою тут надмасивною чорною дірою і мільярдами сусідніх зірок.
Коментарів: 0
За добу на Волині приборкали сім пожеж в екосистемах
Сьогодні 10:31
Сьогодні 10:31
Загиблі у Запоріжжі, знеструмлення на Миколаївщині та Чернігівщині: наслідки ворожих атак
Сьогодні 10:03
Сьогодні 10:03
У власність громади в Луцькому районі передали гідроспоруду вартістю понад три мільйони гривень
Сьогодні 09:07
Сьогодні 09:07
Сім'ї полеглого воїна з Маневиччини вручили його орден
Сьогодні 08:39
Сьогодні 08:39


Додати коментар:
УВАГА! Користувач www.volynnews.com має розуміти, що коментування на сайті створені аж ніяк не для політичного піару чи антипіару, зведення особистих рахунків, комерційної реклами, образ, безпідставних звинувачень та інших некоректних і негідних речей. Утім коментарі – це не редакційні матеріали, не мають попередньої модерації, суб’єктивні повідомлення і можуть містити недостовірну інформацію.