«Роздути скандал не вийшло», – у «Луцькводоканалі» відреагували на фейк «експертів» про завищену вартість труб
У комунальному підприємстві «Луцькводоканал» спростували фейкову інформацію про нібито завищену вартість труб, які придбало підприємство для ремонту аварійного колектора.
Як повідомили у пресслужбі водоканалу, нещодавно окреме інформаційне видання намагалось «сколихнути інфопростір» черговим фейковим вкидом щодо вартості труб, начебто придбаних КП «Луцькводоканал» для ремонту аварійного колектора в Луцьку, який перебуває в критичному стані і загрожує обвалом. Одразу ж кілька «експертів» уже далеко не вперше почали безуспішно намагатися «розігнати цю тему» в інфопросторі Луцька.
«Радує те, що більшість інформаційних видань не підхопили оманливу інформацію і не стали ширити відверто неправдивий, а, можливо, й замовний матеріал. Прикро, що в часи війни деякі особи, прикриваючись званням журналіста, намагаються «висмоктати з пальця» черговий скандал, вводячи в оману своїх же читачів. Наразі надаємо інформацію для лучан, які хочуть зрозуміти суть питання. І одразу наголошуємо – результати тендеру відповідають всім законодавчим вимогам», – йдеться у повідомленні.
Як зазначається, КП «Луцькводоканал» усвідомлює відповідальність щодо реалізації невідкладних проєктів з реконструкції чи модернізації основних технологічних об’єктів, від яких залежить безперебійне водопостачання та усунення ризиків для споживачів. Зважаючи на значні суми інвестицій, підприємство дотримується принципу відкритості та прозорості використання коштів, зрозумілості проєктів для суспільства. Відтак детально інформує та комунікує зі споживачами, громадянами, депутатами про наявні проблеми, виклики та ризики, вартісні показники, очікуваний результат та вигоди для кожного мешканця.
Читати ще: Порівняли дренажні та каналізаційні труби: директор «Луцькводоканалу» прокоментував журналістське розслідування
«Тому наголошуємо: каналізаційний колектор на вулиці Карпенка-Карого діаметром 900 мм – єдина мережа, яка відводить стічні води з мікрорайонів міста, де мешкає більше 40 тисяс людей. Він був обстежений за допомогою телеінспекційного обладнання, результати опрацьовані технічною радою, замовлено виготовлення проєктно-кошторисної документації, проведено державну експертизу на стійкість, надійність, правильність розрахунку вартості. Отримано позитивний висновок, за результатами якого була затверджена проєктно-кошторисна документація та в межах якої було оголошено відкриті торги для визначення підрядника. Торги відбувалися на площадці «Прозоро», де всі матеріали та технічна документація стають доступними усім правоохоронним і контролюючим органам для аналізу та вивчення. Оскільки все відбувалося відповідно до букви закону, жодних звернень, оскаржень чи зауважень до підприємства на сьогодні немає.
Щодо «інформаційного вкиду» від деяких ЗМІ про нібито закупівлю труб вдвічі дорожче, ніж на Львівщині: дійсно, на Львівщині є Зимноводівська територіальна громада в складі п’яти сіл. Громада, чи її єдине комунальне підприємство, не надає послуг централізованої каналізації. Очевидно, що там немає розгалуженої системи каналізації та очисних споруд, тим більше не може бути каналізаційних колекторів діаметром 900 мм (такий діаметр розрахований на 60 тис мешканців).
Тоді виникає логічне питання – які каналізаційні труби аналогічного діаметру порівняли у селі Зимна Вода та Луцьку так звані «експерти» з інформаційного видання?» – зауважують у підприємстві.
Як зазначається, у селі Зимна Вода провели тендер на «Ремонт вулиці». Тож навіть для пересічного громадянина має бути зрозумілим одне першочергове завдання в таких роботах – відвести дощові та талі води. Це здійснюється за допомогою дренажних труб різного діаметру.
Каналізаційні труби мають суттєві відмінності у виконанні, герметичності, міцності, стійкості до агресивного середовища, відповідно і різна варість, у порівнянні з дренажними.
Є щонайменше 10 видів та типів труби одного і того ж діаметру з дуже різними параметрами, також є виробники з різними технологіями виготовлення труб. Який саме тип труби використати для вирішення проблеми чи завдання в конкретних умовах, визначає проєктант, закладає в кошторис середньоринкову ціну, а експертиза перевіряє відповідність.
Читати ще: «Безпідставні й маніпулятивні»: в Луцькраді відреагували на звинувачення у «шулерстві»
«Тому стає очевидним, що порівнювати каналізаційну мережу в Луцьку з неіснуючою каналізацією в селі Зимна Вода є абсурдно, порівнювати каналізаційну і зливову мережу в різних умовах забудови є щонайменше непрофесійно. Такі дії лише ставлять під загрозу санітарно-гігієнічне благополуччя більше ніж 40 тис людей», – наголошують у «Луцькводоканалі».
В програмному продукті «АВК», який в переважній більшості використовується проєктантами, кошторисниками закладені узагальнені назви матеріалів чи обладнання, а конкретна специфікація визначається безпосередньо в проєктній частині.
КП «Луцькводоканал» здійснює капітальний ремонт каналізаційного колектора шляхом санації. Колектор має велике динамічне навантаження, частина розташована під дорогою з інтенсивним та великогабаритним рухом, глибина залягання 6 метрів, частина – у зоні відведення дощових вод в річку Сапалаївку.
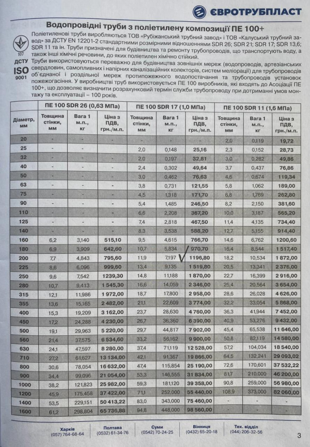
Для прикладу у КП наводять прайс цін одного з провідних українських виробників щодо вартості труб, які будуть використанні при капітальному ремонті (для зручності встановлена відмітка).
«Наголошуємо – наша основна мета – якісні, безперебійні послуги та доступні послуги. Ми завжди готові надати кваліфіковану відповідь на суспільно значимі питання», – додають у водоканалі.
Підписуйтесь на наш Telegram-канал, аби першими дізнаватись найактуальніші новини Волині, України та світу
Як повідомили у пресслужбі водоканалу, нещодавно окреме інформаційне видання намагалось «сколихнути інфопростір» черговим фейковим вкидом щодо вартості труб, начебто придбаних КП «Луцькводоканал» для ремонту аварійного колектора в Луцьку, який перебуває в критичному стані і загрожує обвалом. Одразу ж кілька «експертів» уже далеко не вперше почали безуспішно намагатися «розігнати цю тему» в інфопросторі Луцька.
«Радує те, що більшість інформаційних видань не підхопили оманливу інформацію і не стали ширити відверто неправдивий, а, можливо, й замовний матеріал. Прикро, що в часи війни деякі особи, прикриваючись званням журналіста, намагаються «висмоктати з пальця» черговий скандал, вводячи в оману своїх же читачів. Наразі надаємо інформацію для лучан, які хочуть зрозуміти суть питання. І одразу наголошуємо – результати тендеру відповідають всім законодавчим вимогам», – йдеться у повідомленні.
Як зазначається, КП «Луцькводоканал» усвідомлює відповідальність щодо реалізації невідкладних проєктів з реконструкції чи модернізації основних технологічних об’єктів, від яких залежить безперебійне водопостачання та усунення ризиків для споживачів. Зважаючи на значні суми інвестицій, підприємство дотримується принципу відкритості та прозорості використання коштів, зрозумілості проєктів для суспільства. Відтак детально інформує та комунікує зі споживачами, громадянами, депутатами про наявні проблеми, виклики та ризики, вартісні показники, очікуваний результат та вигоди для кожного мешканця.
Читати ще: Порівняли дренажні та каналізаційні труби: директор «Луцькводоканалу» прокоментував журналістське розслідування
«Тому наголошуємо: каналізаційний колектор на вулиці Карпенка-Карого діаметром 900 мм – єдина мережа, яка відводить стічні води з мікрорайонів міста, де мешкає більше 40 тисяс людей. Він був обстежений за допомогою телеінспекційного обладнання, результати опрацьовані технічною радою, замовлено виготовлення проєктно-кошторисної документації, проведено державну експертизу на стійкість, надійність, правильність розрахунку вартості. Отримано позитивний висновок, за результатами якого була затверджена проєктно-кошторисна документація та в межах якої було оголошено відкриті торги для визначення підрядника. Торги відбувалися на площадці «Прозоро», де всі матеріали та технічна документація стають доступними усім правоохоронним і контролюючим органам для аналізу та вивчення. Оскільки все відбувалося відповідно до букви закону, жодних звернень, оскаржень чи зауважень до підприємства на сьогодні немає.
Щодо «інформаційного вкиду» від деяких ЗМІ про нібито закупівлю труб вдвічі дорожче, ніж на Львівщині: дійсно, на Львівщині є Зимноводівська територіальна громада в складі п’яти сіл. Громада, чи її єдине комунальне підприємство, не надає послуг централізованої каналізації. Очевидно, що там немає розгалуженої системи каналізації та очисних споруд, тим більше не може бути каналізаційних колекторів діаметром 900 мм (такий діаметр розрахований на 60 тис мешканців).
Тоді виникає логічне питання – які каналізаційні труби аналогічного діаметру порівняли у селі Зимна Вода та Луцьку так звані «експерти» з інформаційного видання?» – зауважують у підприємстві.
Як зазначається, у селі Зимна Вода провели тендер на «Ремонт вулиці». Тож навіть для пересічного громадянина має бути зрозумілим одне першочергове завдання в таких роботах – відвести дощові та талі води. Це здійснюється за допомогою дренажних труб різного діаметру.
Каналізаційні труби мають суттєві відмінності у виконанні, герметичності, міцності, стійкості до агресивного середовища, відповідно і різна варість, у порівнянні з дренажними.
Є щонайменше 10 видів та типів труби одного і того ж діаметру з дуже різними параметрами, також є виробники з різними технологіями виготовлення труб. Який саме тип труби використати для вирішення проблеми чи завдання в конкретних умовах, визначає проєктант, закладає в кошторис середньоринкову ціну, а експертиза перевіряє відповідність.
Читати ще: «Безпідставні й маніпулятивні»: в Луцькраді відреагували на звинувачення у «шулерстві»
«Тому стає очевидним, що порівнювати каналізаційну мережу в Луцьку з неіснуючою каналізацією в селі Зимна Вода є абсурдно, порівнювати каналізаційну і зливову мережу в різних умовах забудови є щонайменше непрофесійно. Такі дії лише ставлять під загрозу санітарно-гігієнічне благополуччя більше ніж 40 тис людей», – наголошують у «Луцькводоканалі».
В програмному продукті «АВК», який в переважній більшості використовується проєктантами, кошторисниками закладені узагальнені назви матеріалів чи обладнання, а конкретна специфікація визначається безпосередньо в проєктній частині.
КП «Луцькводоканал» здійснює капітальний ремонт каналізаційного колектора шляхом санації. Колектор має велике динамічне навантаження, частина розташована під дорогою з інтенсивним та великогабаритним рухом, глибина залягання 6 метрів, частина – у зоні відведення дощових вод в річку Сапалаївку.
Для прикладу у КП наводять прайс цін одного з провідних українських виробників щодо вартості труб, які будуть використанні при капітальному ремонті (для зручності встановлена відмітка).
«Наголошуємо – наша основна мета – якісні, безперебійні послуги та доступні послуги. Ми завжди готові надати кваліфіковану відповідь на суспільно значимі питання», – додають у водоканалі.
Знайшли помилку? Виділіть текст і натисніть
Підписуйтесь на наш Telegram-канал, аби першими дізнаватись найактуальніші новини Волині, України та світу
Коментарів: 2
Вася
Показати IP
1 Лютого 2024 00:01
Луцький район, з лютого підняли абонплату за водичку, і це напевно фейк)
Анонім
Показати IP
1 Лютого 2024 20:33
Эта другое
Як знизити цукор в крові без ліків: назвали найлегший спосіб
Сьогодні 06:45
Сьогодні 06:45
П’яним сів за кермо і скоїв ДТП: у Луцьку суд покарав водія Kia штрафом і забрав права
Сьогодні 06:19
Сьогодні 06:19
Чорна пліснява з Чорнобиля може врятувати людство від космічної радіації. Дослідження
Сьогодні 00:14
Сьогодні 00:14
Неповнолітній пиячив у сані біля Луцька з друзями, а поліції повідомив, що його побили
15 Березня 2026 23:34
15 Березня 2026 23:34
Військового, якого поховали на Львівщині, виявили у російському полоні
15 Березня 2026 23:05
15 Березня 2026 23:05
До 2050 року Україна стане найстарішою нацією у світі. Прогноз ООН
15 Березня 2026 22:36
15 Березня 2026 22:36
Під гаражі: громада на Волині продає комунальні ділянки
15 Березня 2026 22:08
15 Березня 2026 22:08
Дитина вкрала – матір судили: у Нововолинську дівчинка поцупила в «Аврорі» товар
15 Березня 2026 21:39
15 Березня 2026 21:39
У 2026 році для пенсії потрібно більше стажу: хто може залишитися без виплат
15 Березня 2026 21:10
15 Березня 2026 21:10



Додати коментар:
УВАГА! Користувач www.volynnews.com має розуміти, що коментування на сайті створені аж ніяк не для політичного піару чи антипіару, зведення особистих рахунків, комерційної реклами, образ, безпідставних звинувачень та інших некоректних і негідних речей. Утім коментарі – це не редакційні матеріали, не мають попередньої модерації, суб’єктивні повідомлення і можуть містити недостовірну інформацію.