Зросла вартість обслуговування ліфтів у луцьких багатоповерхівках
Водночас тарифи для мешканців будинків без ліфтів і квартир першого поверху багатоповерхівок із ліфтами залишили незмінними.
Про це йшлося під час засідання виконавчого комітету Луцької міської ради 4 липня.
Як повідомив директор департаменту житлово-комунального господарства Юрій Крась, технічне обслуговування ліфтів входить до переліку послуг з утримання будинків і споруд та прибудинкових територій. Він зазначив, що підняття тарифів на утримання ліфтів у луцьких багатоповерхівках пов’язане зі збільшенням вартості технічного обслуговування ліфтів.
Останній раз тарифи, своєю чергою, переглядали ще у 2015 році, за цей час зросли витрати та заробітні плати. Юрій Крась повідомив, що зараз на підприємствах ЖКГ жахлива ситуація з кадрами, адже робітники не хочуть працювати за низьку платню і часто приймають рішення про виїзд за кордон на заробітки.
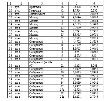
Окрім того, тарифи розрахували окремо для кожного будинку, обладнаного ліфтом.Члени виконкому під час повторного розгляду питання підтримали цей проект рішення.
Підписуйтесь на наш Telegram-канал, аби першими дізнаватись найактуальніші новини Волині, України та світу
Про це йшлося під час засідання виконавчого комітету Луцької міської ради 4 липня.
Як повідомив директор департаменту житлово-комунального господарства Юрій Крась, технічне обслуговування ліфтів входить до переліку послуг з утримання будинків і споруд та прибудинкових територій. Він зазначив, що підняття тарифів на утримання ліфтів у луцьких багатоповерхівках пов’язане зі збільшенням вартості технічного обслуговування ліфтів.
Останній раз тарифи, своєю чергою, переглядали ще у 2015 році, за цей час зросли витрати та заробітні плати. Юрій Крась повідомив, що зараз на підприємствах ЖКГ жахлива ситуація з кадрами, адже робітники не хочуть працювати за низьку платню і часто приймають рішення про виїзд за кордон на заробітки.
Окрім того, тарифи розрахували окремо для кожного будинку, обладнаного ліфтом.Члени виконкому під час повторного розгляду питання підтримали цей проект рішення.
Знайшли помилку? Виділіть текст і натисніть
Підписуйтесь на наш Telegram-канал, аби першими дізнаватись найактуальніші новини Волині, України та світу
Коментарів: 2
Лучанин
Показати IP
4 Липня 2018 20:11
Другий поверх не їздить на ліфтах, то чому за нього платити???
Правда
Показати IP
5 Липня 2018 09:15
"Дістали" вже ці совкові підходи.Їду-плачу.Не їду не плачу і все.Зробіть карткову систему і не морочіть людям крижі.Якщо багато людей не користуються ліфтом,то чому вони повинні за це сплачувати.Ні-не повинні.
Щоб оформили відстрочку: на Закарпатті уролог за $300 продав чоловікові камінь з сечовивідних шляхів онкохворої пацієнтки
Сьогодні 14:14
Сьогодні 14:14
На Волині п'яний мотоцикліст врізався в електроопору
Сьогодні 13:58
Сьогодні 13:58
На Волині і ще в 4 областях: у магазинах популярної мережі секонд-хендів – масштабні обшуки
Сьогодні 13:25
Сьогодні 13:25
На Волині в ставку знайшли тіло чоловіка
Сьогодні 12:53
Сьогодні 12:53
У Луцьку провели в останню дорогу Героя Дмитра Гордійчука
Сьогодні 12:36
Сьогодні 12:36


Додати коментар:
УВАГА! Користувач www.volynnews.com має розуміти, що коментування на сайті створені аж ніяк не для політичного піару чи антипіару, зведення особистих рахунків, комерційної реклами, образ, безпідставних звинувачень та інших некоректних і негідних речей. Утім коментарі – це не редакційні матеріали, не мають попередньої модерації, суб’єктивні повідомлення і можуть містити недостовірну інформацію.