На виборах на Волині буде 5 округів. Документ
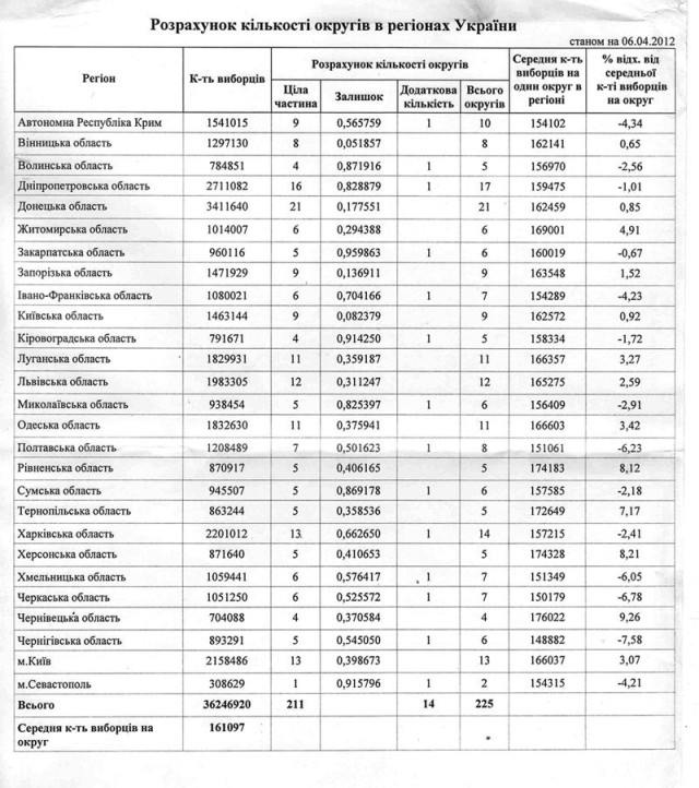
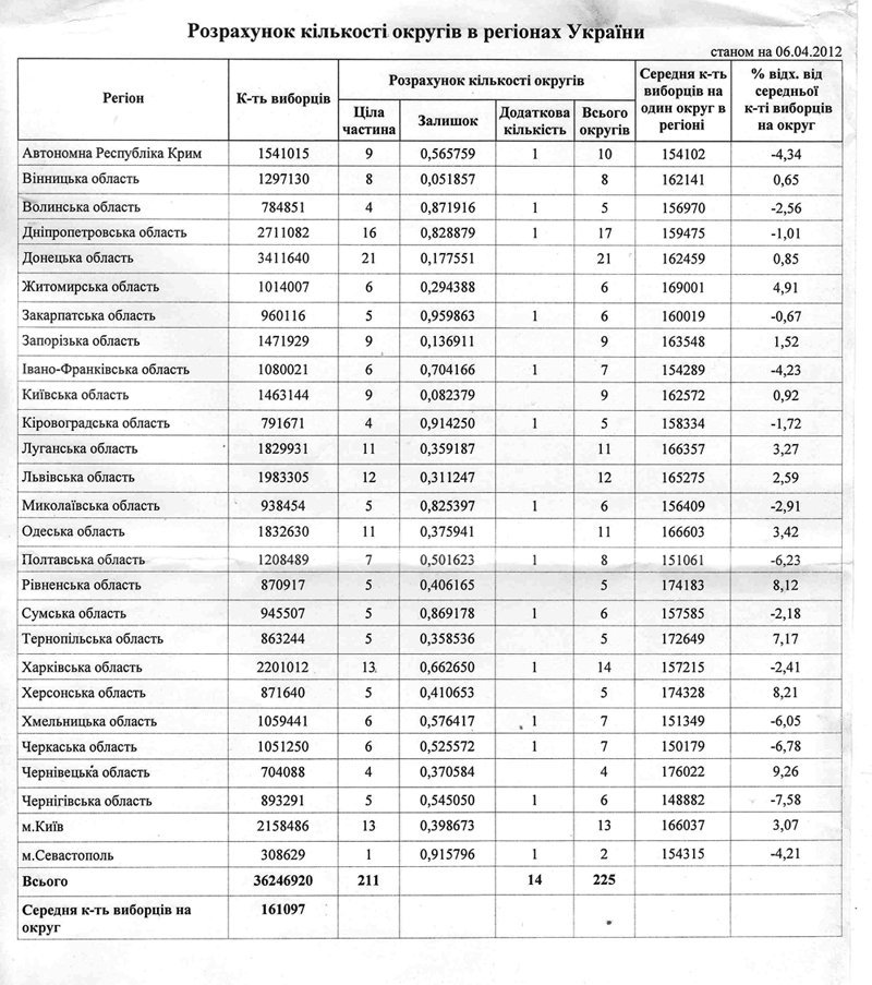
На Волині створять п’ять мажоритарних округів під час чергових парламентських виборів.
Про це повідомляє Тиждень.
Видання оприлюднило витяг проекту постанови Центрвиборчкому про розподіл округів в регіонах.
Очевидно, що мажоритарні округи будуть розподілені по областях України, виходячи винятково з математичних підрахунків.
Цей проект постанови підготовлений заступниками голови ЦВК Андрієм Магерою та Жанною Усенко-Чорною. За даними джерел видання, альтернативних проектів наразі не існує.
Підписуйтесь на наш Telegram-канал, аби першими дізнаватись найактуальніші новини Волині, України та світу
Про це повідомляє Тиждень.
Видання оприлюднило витяг проекту постанови Центрвиборчкому про розподіл округів в регіонах.
Очевидно, що мажоритарні округи будуть розподілені по областях України, виходячи винятково з математичних підрахунків.
Цей проект постанови підготовлений заступниками голови ЦВК Андрієм Магерою та Жанною Усенко-Чорною. За даними джерел видання, альтернативних проектів наразі не існує.
Знайшли помилку? Виділіть текст і натисніть
Підписуйтесь на наш Telegram-канал, аби першими дізнаватись найактуальніші новини Волині, України та світу
Коментарів: 0
На Волині вогонь охопив ціле обійстя
Сьогодні 20:11
Сьогодні 20:11
У Франції через аномальну спеку загинули семеро людей
Сьогодні 19:51
Сьогодні 19:51
У Рожищі рідним двох Героїв вручили їхні ордени
Сьогодні 19:32
Сьогодні 19:32
У Чехії відпустили митрополита РПЦ Іларіона, якого затримали через наркотики в багажнику
Сьогодні 18:54
Сьогодні 18:54
Завтра Луцьк прощатиметься з Героєм Сергієм Четвериковим
Сьогодні 18:34
Сьогодні 18:34
Як підібрати ніж за формою та розміром клинка?
Сьогодні 18:15
Сьогодні 18:15
ЦВК визнала ексзаступника голови Волинської ОДА П'ятигорця новим нардепом. Він відмовився
Сьогодні 17:55
Сьогодні 17:55
Пів року вважався зниклим безвісти: у Нововолинську попрощались з воїном Сергієм Шулєповим
Сьогодні 17:39
Сьогодні 17:39


Додати коментар:
УВАГА! Користувач www.volynnews.com має розуміти, що коментування на сайті створені аж ніяк не для політичного піару чи антипіару, зведення особистих рахунків, комерційної реклами, образ, безпідставних звинувачень та інших некоректних і негідних речей. Утім коментарі – це не редакційні матеріали, не мають попередньої модерації, суб’єктивні повідомлення і можуть містити недостовірну інформацію.