Як партія БПП «Солідарність» збирає мільйони внесків з освітян
Кожна партія потребує значних коштів для функціонування. Не є виключенням і партія президента Порошенка. За останні 2 роки внески від фізичних осіб в казну БПП склали майже 6 мільйонів гривень, йдеться у матеріалі "Української правди".
Гроші заводилися через персональні дані бюджетників, а самі пожертви маскували під членські внески. Ще цікавіше, що далеко не всі бюджетники Рівненщини та Харківщини знали про свою партійність та фінансування партії президента.
Схожу схему використовувала на Київщині і партія "Батьківщина". За нашими даними, після публікації того матеріалу БПП роздав партійцям вказівки, як "правильно" відповідати на питання журналістів про фінансування.
На Миколаївщині БПП та її тодішній очільник Бірюков використали іншу схему фінансування партії, завдяки якій стали рекордсменами зі спонсорських зборів.
У самій партії БПП "Солідарність" зацікавилися результатами розслідування ЧЕСНО і обіцяють провести службову перевірку.
Громадський рух ЧЕСНО з'ясовував: хто ж фінансує партію президента.
Чи є реальними донорами "Солідарності" освітяни?
Представники Громадського руху ЧЕСНО вирушили на Рівненщину та Харківщину. Це регіони, де проживає понад дві третини донорів усієї БПП, значна частина з яких – освітяни.
Майже півтора десятки вчителів, з якими вдалося поспілкуватися в Рівному, стверджують, що давали штабам БПП свої персональні дані для членства у територіальних та дільничних виборчих комісіях.
Жоден учитель, з яким спілкувався ЧЕСНО, до приїзду журналістів не знав, що перераховує кошти та є членом партії.
Учитель історії Рівненської ЗОШ №27 Валентин Кравчук стверджує, що паспортні дані в БПП залишав, але безпосередньо у виборчому процесі участі не брав.
"Думаю, що все ж таки ішла вказівка зверху, з міського управління освіти (йдеться про залучення вчителів до роботи ДВК від БПП - прим авт.). Стверджувати я не можу, але думаю саме так, тому що провладна партія, зрозуміло, адмінресурс. У нормальній демократичній державі такого не має бути", - каже Валентин Кравчук.
Він також зазначив, що партію Порошенка ніколи не спонсорував і гроші не перераховував.
"Я можу дати кошти діткам хворим чи на підтримку воїнів АТО, але це я роблю із власної волі. Мене тут заставляти не потрібно. Коли з мене, вибачте, роблять ідіота, то чекайте... я категорично проти таких речей. Не вважаю, що партія, яка має адмінресурс і може ним скористатися, має якусь перевагу порівняно з іншими. Без відома людини робити таке... я дізнаюся від вас, що я є "спонсором" партії. Це диву даєшся", - додає Кравчук.
Виявилося, що фактично у кожній школі Рівного вчителі фінансово підтримують БПП.
Сергій Сидорчук, учитель історії Рівненської школи №18, каже, що не фінансує жодну партію. Навпаки, у 2014 році намагався стати членом дільниці від БПП, щоб підзаробити. Однак у фінансовому звіті внески від його імені є.
Учитель припускає, що партії вже давно мають його персональні дані, оскільки він був членом виборчої комісії. Такі комісії формуються за партійною квотою.
Громадський рух ЧЕСНО поспілкувався з учителями чотирьох шкіл Рівного. Про те, що фінансують котрусь із партій, всі педагоги, з якими спілкувався ЧЕСНО, дізналися саме від журналістів. Однак публічно говорити про це погодилися не всі. Від почутого одна з учительок навіть розплакалася. Вона підтвердила, що партію не фінансує, але говорити публічно боїться.
У вибірці з 630 донорів БПП, які в 2016 та 2017 роках фінансували партію, вдалося виявити інформацію про 457 осіб, з них – 146 освітяни, 10 медиків, 27 бюджетників (переважно працівники сільських будинків культури, бібліотекарі, лісники тощо), 24 студенти, 50 чиновників (переважно районні державні адміністрації).
Найчастіше місцеві управління освіти очолюють люди, пов'язані з провладною партією. Це дозволяє ефективно формувати потрібний склад виборчих дільниць. Не є винятком і Рівне.
Василь Харковець, начальник міського управління освіти, в 2015 році балотувався до Рівненської міської ради від БПП. Тож не дивно, що вчителям міських шкіл пропонували стати членами ДВК саме від цієї партії.
Найімовірніше, витоку персональних даних зі шкіл чи управлінь освіти не було. У більшості випадків учителі самостійно передавали дані представникам БПП, аби потім за грошову винагороду стати членами дільниць.
Цю інформацію підтвердили понад десяток педагогів Рівного, чиї імена фігурують у фінансовому звіті БПП.
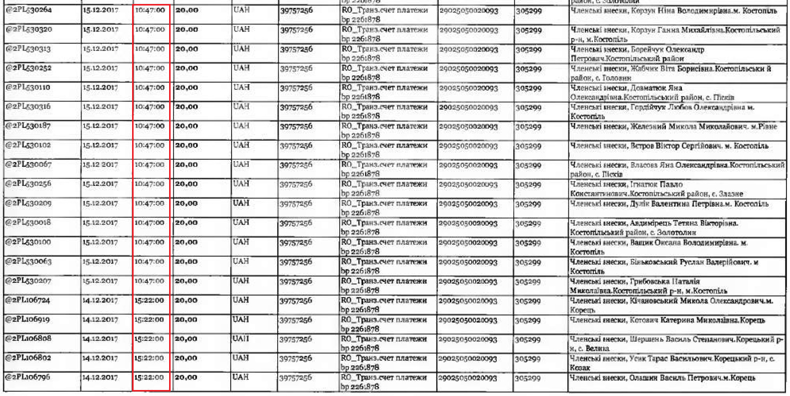
Звіт про дебетові та кредитові операції по рахунку Рівненської БПП за IV квартал 2017 року свідчить про те, що десятки внесків партії надходять одночасно – в одну й ту ж секунду.

Бухгалтерка Рівненської БПП Оксана Хандрусь на запитання ЧЕСНО про внески в одну й ту ж секунду відповідає, що багато членів партії не можуть самостійно сплачувати внески:
"Дивіться, там є райони і там є різні люди, старші, молодші. Хтось може за себе проплатити через термінал, хтось не має такої змоги. Люди там не всі володіють комп'ютером, інтернетом… і через то так виходить", - каже бухгалтер.
Однак, вже невдовзі, ймовірно після консультацій із колегами, бухгалтерка змінила думку і сказала, що не знає як надходять внески. Закон вимагає сплачувати кошти особисто.
Чи дійсно БПП має наймасовішу підтримку?
У школах Слобожанського на Зміївщині Харківської області майже десяток учителів підтвердили, що внесків особисто не робили та не є членами БПП. Усі вони фігурують у фінзвіті Харківської БПП. Під запис учителі говорити про це відмовилися, обґрунтовуючи це захистом репутації шкіл та намаганням уникнути втягування навчальних закладів у політику.
Суттєва відмінність у тому, що ці вчителі не брали участі у передвиборчих кампаніях і персональні дані не передавали до БПП. Зауважимо, що очільниця Зміївського відділу освіти Віра Шаповалова балотувалася до райради від цієї партії.
Виявилося, що в одній зі шкіл Зміївщини працюють одразу 9 учителів, які нібито є членами партії та перераховують БПП членські внески. Із сімома вчителями нам удалося поспілкуватися, і всі вони дізналися про членство у партії та про її фінансування саме від ЧЕСНО.
В іншій школі ми поспілкувалися з учителькою, яка дійсно є членом партії, але, за її словами, членські внески вона вже давно не сплачує.
Ще у двох школах, найімовірніше, нашого візиту вже чекали, оскільки інформація про наше розслідування на Зміївщині дійшла до ОДА. Виявилося, що у Зідьках та Геніївці директори шкіл очолюють місцеві осередки БПП, а значна частина вчителів є членами партії, щонайменше 13 учителів обох шкіл.
У Зідьках та Геніївці вчителі стверджували, що робили внески особисто, хоча й плуталися у деталях щодо того, які суми, як часто, та в який спосіб перераховували. Усе ж більшість із них запевняли, що вносили кошти особисто через зміївське відділення "Мегабанку".
Однак така версія розходиться з даними банківської виписки. Вона свідчить, що всі внески мешканців цього району (а їх майже 200 осіб лише у IV кварталі 2017 року), здійснювалися в одні і ті ж дні через харківське відділення "Мегабанку".

Згідно з документами, щомісяця дві сотні зміївчан в один і той же день, однією з найгірших доріг області їздили до Харкова перераховувати по 20 гривень членських внесків. Як показав аналіз, понад 50% донорів БПП на Зміївщині – освітяни.
Дорога там така погана, що за словами місцевих жителів, нещодавно в приватному порядку наймали грейдер, щоб розрівняти узбіччя, яким водії й об'їжджають "дорожнє полотно", а місцеві активісти садять картоплю в ямах на дорозі.
Вартість поїздки маршруткою в обидва боки коштує для зміївчан десь 40 гривень. Історія про те, що 200 людей одночасно їздять зі Зміївщини в Харків, щоб перерахувати 20 гривень партії, і кожен платить щоразу удвічі більше за проїзд, виглядає щонайменше маловірогідно.

Висадка картоплі в ямах на дорозі
Викликає питання і той факт, що райони жертвували кошти синхронно. Тоді як певні райони перераховували кошти в один день, низка інших районів – наступного дня. Така черговість зберігається постійно.
Керівництво харківської БПП оперативно проінформували про приїзд журналістів до місцевих шкіл. Про це свідчить пост керівника секретаріату обласного осередку партіїВіталія Маляренка. Те, що вчителі заперечують, що жертвують кошти на партію, він списує на страх перед шахраями.

Маляренко знав про візит представників ЧЕСНО до того, як вони повернулися зі Зміївщини в Харків.
Громадський рух ЧЕСНО зателефонував Маляренку, аби ознайомити з виявленими фактами і взяти коментар. Але Маляренко, почувши, що з ним розмовляють представники ЧЕСНО, спілкуватися відмовився.
Заради справедливості, маємо зазначити, що ще восени 2017 року ЧЕСНО спілкувався з частиною людей, які фігурували у фінансовому звіті Харківської БПП як найбільші донори. Більшість із цих людей, зокрема заступники голови Харківської РДА, які в 2015 балотувалися від БПП, стверджували, що фінансують партію.
При цьому, зазвичай, вони не могли назвати скільки саме коштів перераховували та відповідали схожими фразами.
Варто зазначити, що голова Адміністрації Президента Ігор Райнін – депутат саме Харківської облради і 100 % прогульник. Саме він очолює партійний осередок на Харківщині.
Аби уникнути спекуляцій довкола звинувачень у "зливах" та незаконному зборі персональних даних, одразу зазначимо, що джерелом інформації у нашому розслідуванні є виключно дані, розміщені у відкритому доступі в інтернеті.
Подібне розслідування може провести будь-хто, хто має комп'ютер та доступ до мережі. Дані про місце проживання донорів (назва міста, села) вказані у фінансовому звіті БПП за IV квартал 2017 року. Ця інформація є відкритою!
Для того, щоб перевірити чи Ви фігуруєте у фінансовому звіті БПП натисніть на прапорець, що стоїть на області вашого проживання. Зауважимо, що навіть у межах однієї області можуть траплятися повні однофамільці, тож імовірність того, що саме Ви фігуруєте у звітах БПП, суттєво зростає, якщо Ви бюджетник та/або взаємодіяли з цією партією під час виборів 2014-2015 років. На сайті "Золото партій" Ви можете вписати своє ім'я у пошукову стрічку та детальніше перевірити цю інформацію.
З аналізу цих звітів випливає, що українці наймасовіше підтримують грошима саме президентську партію.
Мешканці Рівненщини та Харківщини нібито підтримують грошима партію влади найбільше. Це 90% від усіх транзакцій на центральний та всі регіональні осередки партії.
У той час, як на Львівщині, Чернігівщині, Черкащині партію підтримали менше 10 осіб, на Харківщині на благо БПП кошти жертвували понад 3200 осіб. Дрібними внесками переважно по 20 гривень у Рівному зібрали 200 тисяч, а у Харкові майже 1,5 мільйона.

Для порівняння – під час місцевих виборів у 2015 році БПП найбільше підтримали виборці Києва, Житомирщини, Тернопільщини та Вінниччини. На Харківщині та Рівненщині результати БПП також хороші, однак лідерами вони не є.

У БПП стверджують, що на Вінниччині мають найбільше членів партії – понад 4 тисячі осіб. Тож логічно було б, якби саме Вінниччина, базовий для БПП регіон, стала лідером зі збору членських внесків.
Однак на Рівненщині членські внески нібито сплачують у 10 разів більше людей. На Харківщині їх вже у 30 разів більше.
На Харківщині, Рівненщині і ще в низці областей перекази здійснювалися в один і той самий день дрібними платежами, переважно, по 5, 20, 40 грн.

Варто звернути увагу на номери розрахункових документів. Те, що порядковий номер кожного разу зростає на одиницю, означає, що, найімовірніше, всі ці кошти були перераховані одночасно і централізовано. При цьому внески надходили від людей, які проживають у різних населених пунктах.
У відповідь на запит ЧЕСНО НАЗК надало банківську виписку про обіг коштів на рахунку Харківської БПП. Виявилося, що донори фінансують партію виключно через відділення "Мегабанку". Там же відкриті рахунки обласної БПП, на які надходять всі кошти з районів.
За даними Youcontrol кінцевим бенефіціарним власником ПАТ "Мегабанк" є Віктор Суботін. Сам Суботін є генеральним директором ВАТ "Турбоатом", був депутатом Харківської обласної ради від "Партії регіонів", а у 2015 році неуспішно балотувався до цієї ж ради від БПП.
Може бути лише дві правдоподібні версії. Перша: сотні людей у різних райцентрах області в один і той самий день масово з'їжджаються до відділень "Мегабанку". При цьому внески з окремих районів ішли не через місцеві відділення "Мегабанку", а через харківське. І це не поодинокі випадки.

Друга версія: кошти перераховують централізовано – кожен районний осередок БПП скидається грошима до обласного партійного бюджету, однак, роблять це через імена та персональні дані людей, що нібито є членами партії.
Виникає логічне запитання, чи знають про це люди, імена яких фігурують у фінансових звітах? Відверто, суми внесків не вражають, однак ідеться не так про гроші, як про використання персональних даних. Крім цього, закон вимагає, щоб усі внески здійснювалися особисто, через банківське чи поштове відділення.
Для того, щоб перерахувати партії кошти від іншої людини, потрібно мати щонайменше її ідентифікаційний код чи номер паспорта та точну адресу проживання. Саме такі дані партії повинні відображати у фінансових звітах, які подають до НАЗК.
"Можливо, це який перебір керівника Зміївського району, я зараз перевіряю всю цю інформацію. Логіки в його діях немає ніякої. Ще раз кажу, якщо нам необхідні кошти, ми їх можемо вносити цільовим внеском на підтримку партії. Нам немає необхідності розбивати його на 3200 членських внесків, по 240 гривень за рік. Це безглуздо. Можна однією сумою проплатити це і просто не піднімати це питання. Стосовно приймання грошей від людей, які не є членами партії, ми цей випадок перевіряємо. Просто не можемо зрозуміти, що сталося і навіщо це хтось робив", каже керівник секретаріату центрального офісу БПП Максим Саврасов.
Як молода команда Бірюкова допомагала БПП
Миколаївський осередок партії фінансували саме великими сумами. З початку 2016 року до середини 2017 року місцевим осередком БПП керував радник президента та міністра оборони Юрій Бірюков.
1 750 000 гривень за два роки надійшло пожертв від фізичних осіб на Миколаївський осередок БПП.
Це рекордна сума серед всіх облосередків БПП, включно із центральним офісом. Більшість цих коштів надійшла всього від 6 осіб.

Найцікавіше, що троє з шести основних донорів отримують від партії зарплатню, тобто є працівниками БПП. Ще двоє працюють у громадській та благодійній організаціях, пов'язаних із Бірюковим та Олександром Нойнецем, якого називають помічником та піарником Бірюкова в період головування в місцевому осередку БПП.

У коментарі Громадському руху ЧЕСНО бухгалтерка Миколаївської БПП Олександра Купінець переконує, що мала можливість фінансувати БПП, оскільки в неї 8 років трудового стажу:
"Я дійсно внесла більше 130 тисяч гривень на рахунок Миколаївського БПП. І я дійсно є працівником Миколаївського БПП. Але донедавна моїм доходом була не тільки заробітна плата в цій організації, а й доходи у вигляді заробітної плати на інших підприємствах – мій трудовий стаж становить більше 8 років", - зазначила Олександра Купінець.
На уточнююче запитання, у чому ж логіка – одночасно віддати БПП 130 тисяч і отримувати зарплатню розміром в 4,5 тисячі гривень на місяць, Купінець віджартовується:
"Але ви забуваєте про трудовий і страховий стаж, якого у мене не буде, якщо я відмовлюся від заробітної плати. Хочеться більш впевнено дивитися в майбутнє, якщо доживу до пенсійного віку і пенсійні виплати ще не скасують. Якщо серйозно, мої рішення здійснювати внески на користь партії завжди спонтанні і не залежать від того, скільки я отримала зарплатні в Миколаївській БПП", - додала бухгалтер.
З травня 2016 року по грудень 2017 року Олександра Купінець отримала від Миколаївського осередку БПП понад 160 тисяч гривень зарплатні.
Юрій Бірюков не бачить нічого дивного у тому, що головними донорами БПП під час його керування Миколаївським осередком партії є самі ж її працівники та представники неприбуткових організацій:
"Тоді нам поставили завдання відпрацювати різні технології з партійного будівництва. Загалом, ми часто використовували свої власні фінансові ресурси, відпрацьовуючи ту чи іншу технологію. А потім нам стало нудно. Ми намагалися побудувати гарну, чесну, акуратну організацію, яка функціонує з районними осередками, осередками ОТГ, щоб вони чесно і чисто платили орендну плату, платили всі правильно зарплату, сплачували податки із заробітної плати тощо"
На уточнююче запитання щодо того, чи працівники партії перераховували власні кошти, Бірюков відповідає:
"Здебільшого, так. Не лише ці, але так. Там дещо Київ перерахував на оплату оренди тощо. У нас був рік, але після закінчення року ми пішли. Не через політику, не через якісь скандали, а просто ми взяли рік і відпрацьовували технології чистого партійного будівництва і закінчили цю роботу", - каже радник президента та
міністра оборони Юрій Бірюков.
Чи відповість БПП за використання персональних даних освітян?
Розкриттям фактів зловживань при фінансуванні партій повинен займатися спеціальний департамент НАЗК. Факти порушень вони мають передавати Нацполіції.
За два роки перевірок НАЗК не виявило суттєвих порушень, які б стосувалися підробки даних звіту, незаконного використання даних і т.д.
Довести, що миколаївські донори БПП перераховували партії не власні кошти, буде вкрай складно. За умов, коли працівники партії стверджують, що перераховували такі значні кошти, доказову базу вибудувати неможливо. Дещо інша ситуація з використанням персональних даних бюджетників.
Ймовірно, можна очікувати на управлінські рішення самої партії, зважаючи, що там переконують, ніби перевіряють отриману інформацію. Відповідальність за подібного роду порушення у першу чергу покладається на керівників територіальних організацій, які й підписують регіональні фінансові звіти.
Матеріал підготовлено за підтримки Міжнародного фонду "Відродження" в рамках проекту "Сприяння політичній конкуренції та доступу до політики шляхом громадського моніторингу витрат політичних партій на медіаматеріали та їх верифікації". Позиція авторів матеріалу не обов'язково відображає позицію Міжнародного фонду "Відродження".
Підписуйтесь на наш Telegram-канал, аби першими дізнаватись найактуальніші новини Волині, України та світу
Сьогодні 00:21
Сьогодні 00:00
20 Січня 2026 23:42
20 Січня 2026 23:23
20 Січня 2026 23:05
20 Січня 2026 22:46
20 Січня 2026 22:27
20 Січня 2026 22:08
20 Січня 2026 21:49
20 Січня 2026 21:30

Додати коментар:
УВАГА! Користувач www.volynnews.com має розуміти, що коментування на сайті створені аж ніяк не для політичного піару чи антипіару, зведення особистих рахунків, комерційної реклами, образ, безпідставних звинувачень та інших некоректних і негідних речей. Утім коментарі – це не редакційні матеріали, не мають попередньої модерації, суб’єктивні повідомлення і можуть містити недостовірну інформацію.