Народний контроль: луцька АЗС ‒ №1 в антирейтингу. ФОТО
15 АЗС у західному напрямку України перевірили на якість пропонованої продукції. Бензин, «який ворогу не побажаєш», пропонує одна із луцьких заправок.
Про це повідомляє Autovisio.
Регулярні перевірки якості палива в обласних центрах України та інформація про вражаючий обсягах «бодяги» на АЗС вже давно не дивують автомобілістів. І якщо, пересуваючись містом, у водія є вибір між різними брендами АЗС, то на трасі значно більше шансів нарватися на «бодягу», не доїхавши до пункту призначення.
Тому вирішили перевірити якість палива саме на трасових АЗС. Відбирали проби за двома основними напрямками ‒ західним (Київ ‒ Львів, Львів ‒ Івано-Франківськ, Львів ‒ Луцьк) та східним (Дніпропетровськ ‒ Кривий Ріг ‒ Харків).
Усього експерти відвідали 28 АЗС, на кожній відібрали проби А95 бензину. Якщо на конкретній заправці такого не знаходили, то брали їх сучасний аналог, тобто бензин А-95 Євро або А-95 брендований.
Відібрані проби передали в сертифіковану лабораторію, де, окрім традиційного набору показників (октанове число, вміст бензолу, сірки, ароматичних вуглеводнів), паливо досліджувалося на вміст кисневмісних сполук і кисню (масова частка кисню, метанолу, етанолу, ізопропілового спирту).
Цікавість до «спиртової складової» викликана, у першу чергу, інформацією від експертів паливного ринку про те, що на заправках активно торгують такими спиртовими «бовтанками», маскуючи його під дешевий традиційний бензин. Використання таких палив може мати незворотні наслідки для двигуна і паливної системи.
У західному напрямку «контролери» відвідали 15 АЗС як мережевих брендів, так і одиночних заправок: «ANP», «Укр-Петроль», «Formula», «АЗС без назви», «BM», «Айслаг», «Bel Oil», «Аргос»,«Avetra»,«Петрол Гарант»,«Руно»,«Petrol»,«Aris»,«Бізнес Фінанс»,«Інфоком».
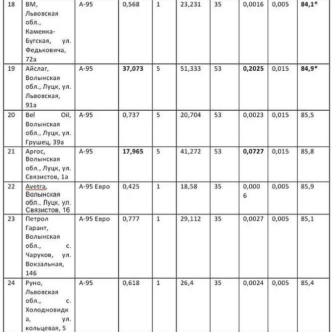
Результати досліджень показали, що 7 з 15 АЗС продавали паливо, яке хоча б в одному з досліджуваних параметрів не витримало перевірки, 3 АЗС не пройшли за параметрами вмісту кисневмісних сполук і кисню. До цього узагальнення можна ще додати одну ремарку: як правило, чим дешевший бензин, тим гірші лабораторні аналізи.
Отож, у бензині на заправці «Айслаг», у Луцьку на вулиці Львівській перевищений вміст бензолу в 7 разів, сірки в 15 разів (!). Але головне ‒ майже половина «бензину» (42.389%) ‒ ізопропіловий спирт.
Вміст кисню перевищений в понад 4 рази, про октанове число вже можна і не говорити ‒ таке «паливо» навіть ворогу не побажаєш.
Серед передовиків спирто-бензинових сумішей слід згадати й луцьку АЗС «Аргос», що на вулиці Звʼязківців. Тут можна недорого придбати «бодягу» з перевищенням бензолу в 3 рази, за вмістом спирту ‒ в два, вмістом сірки ‒ в 4 рази.
На прикарпатських АЗС ситуація не краща: на мережевій АЗС «Укр-Петроль» А95 бензин не відповідав навіть застарілим українським стандартам (ГОСТ 4063-2001) відразу за трьома параметрами ‒ масовою часткою кисню, октановим число, щільністю. І хоча кожне з цих відхилень на межі похибки, їх сумарна кількість змушує сумніватися, що рука «бодяжника» не торкалася цього бензину.
Окрім того, результати досліджень показали проблеми з вмістом сірки в бензині А95 на АЗС «Бізнес Фінанс», з октановим числом ‒ на АЗС «BM», «Petrol», «Aris», що на Львівщині.
Отож, ситуація з якістю палива по трасових АЗС продовжує тенденції великих українських міст: в середньому половина перевірених АЗС не вкладається в українські стандарти, причому мають місце «жорсткі форми бодяжництва», а побоювання експертів щодо засилля спиртових бензинів виправдані ‒ в кожній четвертій АЗС виявили чіткі сліди спирту. Оскільки результати досліджень не дозволяють виявити якісь технологічні тенденції сумішевих бензинів, адже кожен робить це по-своєму, можна говорити про те, що тренд перебуває на етапі становлення і може тільки посилюватися.
Таблиця № 1. Дослідження за стандартними показниками (вміст бензолу, сірки, ароматичних вуглеводнів, октанове число). Жирним виділені невідповідності зі стандартами.
Таблиця 2. Дослідження за показниками вмісту кисневмісних сполук і кисню. Жирним виділені невідповідності зі стандартами.
* відмічені невідповідності держстандартам, які знаходяться в рамках похибки
Підписуйтесь на наш Telegram-канал, аби першими дізнаватись найактуальніші новини Волині, України та світу
Про це повідомляє Autovisio.
Регулярні перевірки якості палива в обласних центрах України та інформація про вражаючий обсягах «бодяги» на АЗС вже давно не дивують автомобілістів. І якщо, пересуваючись містом, у водія є вибір між різними брендами АЗС, то на трасі значно більше шансів нарватися на «бодягу», не доїхавши до пункту призначення.
Тому вирішили перевірити якість палива саме на трасових АЗС. Відбирали проби за двома основними напрямками ‒ західним (Київ ‒ Львів, Львів ‒ Івано-Франківськ, Львів ‒ Луцьк) та східним (Дніпропетровськ ‒ Кривий Ріг ‒ Харків).
Усього експерти відвідали 28 АЗС, на кожній відібрали проби А95 бензину. Якщо на конкретній заправці такого не знаходили, то брали їх сучасний аналог, тобто бензин А-95 Євро або А-95 брендований.
Відібрані проби передали в сертифіковану лабораторію, де, окрім традиційного набору показників (октанове число, вміст бензолу, сірки, ароматичних вуглеводнів), паливо досліджувалося на вміст кисневмісних сполук і кисню (масова частка кисню, метанолу, етанолу, ізопропілового спирту).
Цікавість до «спиртової складової» викликана, у першу чергу, інформацією від експертів паливного ринку про те, що на заправках активно торгують такими спиртовими «бовтанками», маскуючи його під дешевий традиційний бензин. Використання таких палив може мати незворотні наслідки для двигуна і паливної системи.
У західному напрямку «контролери» відвідали 15 АЗС як мережевих брендів, так і одиночних заправок: «ANP», «Укр-Петроль», «Formula», «АЗС без назви», «BM», «Айслаг», «Bel Oil», «Аргос»,«Avetra»,«Петрол Гарант»,«Руно»,«Petrol»,«Aris»,«Бізнес Фінанс»,«Інфоком».
Результати досліджень показали, що 7 з 15 АЗС продавали паливо, яке хоча б в одному з досліджуваних параметрів не витримало перевірки, 3 АЗС не пройшли за параметрами вмісту кисневмісних сполук і кисню. До цього узагальнення можна ще додати одну ремарку: як правило, чим дешевший бензин, тим гірші лабораторні аналізи.
Отож, у бензині на заправці «Айслаг», у Луцьку на вулиці Львівській перевищений вміст бензолу в 7 разів, сірки в 15 разів (!). Але головне ‒ майже половина «бензину» (42.389%) ‒ ізопропіловий спирт.
Вміст кисню перевищений в понад 4 рази, про октанове число вже можна і не говорити ‒ таке «паливо» навіть ворогу не побажаєш.
Серед передовиків спирто-бензинових сумішей слід згадати й луцьку АЗС «Аргос», що на вулиці Звʼязківців. Тут можна недорого придбати «бодягу» з перевищенням бензолу в 3 рази, за вмістом спирту ‒ в два, вмістом сірки ‒ в 4 рази.
На прикарпатських АЗС ситуація не краща: на мережевій АЗС «Укр-Петроль» А95 бензин не відповідав навіть застарілим українським стандартам (ГОСТ 4063-2001) відразу за трьома параметрами ‒ масовою часткою кисню, октановим число, щільністю. І хоча кожне з цих відхилень на межі похибки, їх сумарна кількість змушує сумніватися, що рука «бодяжника» не торкалася цього бензину.
Окрім того, результати досліджень показали проблеми з вмістом сірки в бензині А95 на АЗС «Бізнес Фінанс», з октановим числом ‒ на АЗС «BM», «Petrol», «Aris», що на Львівщині.
Отож, ситуація з якістю палива по трасових АЗС продовжує тенденції великих українських міст: в середньому половина перевірених АЗС не вкладається в українські стандарти, причому мають місце «жорсткі форми бодяжництва», а побоювання експертів щодо засилля спиртових бензинів виправдані ‒ в кожній четвертій АЗС виявили чіткі сліди спирту. Оскільки результати досліджень не дозволяють виявити якісь технологічні тенденції сумішевих бензинів, адже кожен робить це по-своєму, можна говорити про те, що тренд перебуває на етапі становлення і може тільки посилюватися.
Таблиця № 1. Дослідження за стандартними показниками (вміст бензолу, сірки, ароматичних вуглеводнів, октанове число). Жирним виділені невідповідності зі стандартами.
Таблиця 2. Дослідження за показниками вмісту кисневмісних сполук і кисню. Жирним виділені невідповідності зі стандартами.
* відмічені невідповідності держстандартам, які знаходяться в рамках похибки
Знайшли помилку? Виділіть текст і натисніть
Підписуйтесь на наш Telegram-канал, аби першими дізнаватись найактуальніші новини Волині, України та світу
Коментарів: 10
Тарас
Показати IP
14 Квітня 2012 13:41
А де ж рейтинг наших Івахово-Єремеєвих бовтанок? Чи рейтенг зроблено на їх замовлення?
гиии до Тарас
Показати IP
14 Квітня 2012 15:44
а то!
кирдык
Показати IP
14 Квітня 2012 15:59
100% - проделки еремеевских политтехнологов)))
самое бадяжное топливо - на их заправках - объезжаю десятой дорогой и вам советую - соляра и бензин - редкостная бодяга!)))
Саша
Показати IP
14 Квітня 2012 19:41
на Авіасі в Демидівці три дні назад заправився соляркою і просто на слідуючий день поміняв форсунку за 1500 тис.грв. Просто немає слів......
водій
Показати IP
14 Квітня 2012 21:57
Да, Єремєєвска бодяга нікудишня, не знаю що там на ОККО ллють, але на їх євро 95 машина їде, а на розрекламованому мустангові Єремеева - не хоче. Є суттєва різниця при згорянні двох видів пального вони й на запах різні
Володимир
Показати IP
14 Квітня 2012 23:53
На заправках ВОГ не заправляюсь принципово - ціна КОСМОС + якість ніяка. Найкращий бензин на АВЕТРІ.
Депо
Показати IP
15 Квітня 2012 10:15
Слухайте, на айслаговській АЗС запрвляється половина маршруток нашого міста, відповідно ця гидота яку заправляють осідає в наших з вами легенях ? :(
@
Показати IP
15 Квітня 2012 16:38
Не знаю як на мене простий бензин 95 кращий від WOGa ніж від ОККО, щодо 92 не знаю бо двигун меньший ніж 2.0 від нього детонує надмірно тому не заправляюся, якщо буває є зайві гроші і хочеться погасати динамічно тоді вихід є це Pulls та Mustang. А так АЗС це зло. Велосипед АИСТ рулить! Луцьк невеличке село.
Саша
Показати IP
15 Квітня 2012 19:17
Після того як побачив ВОГОВСКІ бензовози (причому не раз і не два) які брали солярку на ПАНХІМІ на ВОГ не заїзджаю принципово.... 9,70 і 10,49 трошкі є різниця.....
вахтер
Показати IP
15 Квітня 2012 22:34
Так Айслаг екологію підтримує - впроваджує біотехнології і розбавляє пальне спиртом, чого усі причепилися:)?
Горить вже 5800 га лісу: на Чернігівщині майже тиждень гасять пожежу, яку спричинила атака РФ
Сьогодні 17:23
Сьогодні 17:23
Екскурсія від лідера гурту «Фіолет», кликун замку і підтримка воїнів: яким побачили Луцьк автори відеопроєкту «Міста»
Сьогодні 17:07
Сьогодні 17:07
У Запоріжжі помер Захисник із Любомля Володимир Степанюк
Сьогодні 16:01
Сьогодні 16:01
Розбили вікна та пошкодили техніку: у Луцьку невідомі напали на виробничу базу облавтодору
Сьогодні 15:44
Сьогодні 15:44
Лучан запрошують на презентацію книги про Луцький замок
Сьогодні 14:37
Сьогодні 14:37







Додати коментар:
УВАГА! Користувач www.volynnews.com має розуміти, що коментування на сайті створені аж ніяк не для політичного піару чи антипіару, зведення особистих рахунків, комерційної реклами, образ, безпідставних звинувачень та інших некоректних і негідних речей. Утім коментарі – це не редакційні матеріали, не мають попередньої модерації, суб’єктивні повідомлення і можуть містити недостовірну інформацію.